CENTRALNEWS.ID, RIAU – Jangkitan pandemi Coronavirus Disease 2019 (COVID-19) di wilayah provinsi Riau kembali memuncak, Sabtu (12/9) sore.
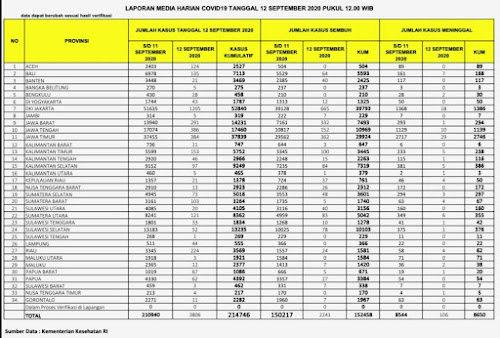
Berdasarkan data resmi Kementerian Kesehatan (Kemenkes) RI yang dipublikasikan di situs covid19.go.id dan bnpb.go.id menerangkan bahwa hari ini terdapat 224 penambahan kasus baru di wilayah berjuluk Bumi Lancang Kuning itu.
Bertambahnya jumlah jangkitan tersebut merupakan rekor tertinggi sepanjang pencatatan data terpadu di lini masa Kemenkes RI, lonjakan bahkan kian klimaks hingga menduduki angka 224 kasus periode hari ini.
Dengan lonjakan data terbaru itu, maka kumulatif wabah pandemi di Riau kini tembus 3.569 kasus.
Kabar ini jelas menjadi catatan terburuk di provinsi penghasil minyak bumi itu, perebakan wabah penyakit mendunia itu bak runtuhan salju tebal yang terus mengular.
Adapun pasien yang dinyatakan sembuh pada hari ini sebanyak 24 orang, maka kumulatifnya mencapai 1.581 orang.
Kabar duka juga tersiar dari negeri Melayu itu, sebagaimana data tersebut memuat sebanyak empat orang yang terkonfirmasi dikabarkan meninggal dunia. Atas penambahan itu, maka total pasien terkonfirmasi yang akhirnya wafat berjumlah 62 jiwa.
Menilai perebakan virus semakin melonjak pesat, maka imbauan penerapan protokol kesehatan tampak kian diperketat. Seluruh masyarakat di dalamnya diwajibkan untuk memakai masker dan tetap menjaga jarak dalam setiap aktifitas di dalam maupun di luar ruangan.



